座機:027-87580888
手機:18971233215
傳真:027-87580883
郵箱:didareneng@163.com
地址: 武漢市洪山區魯磨路388號中國地質大學校內(武漢)
產業技術研究吉林省中深層地熱能供暖資源量評估研究及資源評價分析
文章來源:地大熱能 發布作者: 發表時間:2023-02-10 14:30:07瀏覽次數:3024
化石能源消耗所產生的CO2等污染物對環境造成了極大的破壞,控制CO2排放量以解決溫室效應等環境問題是世界各國的共同目標,我國承諾:力爭于2030年前達到碳排放峰值,努力爭取2060年前實現碳中和。
吉林省中深層地熱能供暖資源量大,熱流值高,開發利用前景廣闊。首先對吉林省地熱能資源形成條件和大地熱流特征進行分析研究,并對省內中深層地熱能資源量進行評估,最后系統地對吉林省地熱能供暖開發的適宜性進行資源評價分析。
1.1 地體構造特征
吉林省地體構造經歷了前寒武紀古陸核增生,古元古代地體裂解,新元古代過渡殼增生;早古生代時期,伊-舒斷裂兩側存在著不同的大地構造,以東是吉林-延邊早古生代增生褶皺帶,以西為華北板塊活動陸緣島區;晚古生代經過兩次裂陷拉張和聚合,地殼逐漸發育成熟;晚古生代晚期地體碰撞、拼合;中生代吉林省統一為后陸殼階段。
1.2 地層特征
吉林省的地層自下而上為:太古界、下元古界、震旦亞界、震旦及寒武系、奧陶系、志留系、泥盆系、石炭系、二迭系、侏羅系、白堊系、第三系、第四系。地層巖體劃分為:①巖漿巖建造包括塊狀堅硬花崗巖巖組,薄層狀軟弱花崗巖風化殼、塊狀堅硬玄武巖組,塊狀-厚層狀較堅硬的火山碎屑巖巖組;②沉積巖建造包括碎屑巖和碳酸鹽巖兩種;③變質巖建造由混合巖、片麻巖、板巖、千枚巖、片巖等組成。
1.3 區域構造演化
吉林省區域構造演化主要分為兩個階段。
第一階段是地幔物質的熱動力向地表方向發育,使巖體向相反方向移動,表現于研究區域的前期發育階段;
第二階段是板塊運移對吉林省所處的板塊受到碰撞擠壓,使巖體相向移動,對研究區域的后期發育階段產生作用。
前者使研究區域受到張力的影響,后者使研究區域受到壓力的影響。兩種不同方向的壓力作用于研究區域,促使研究區域發生了不同形式的構造演化。
2 研究區地熱條件分析
2.1 地熱形成條件
儲存在巖層中的熱量稱為熱源;熱能大量存在的地層巖組稱為熱儲;在熱儲之上覆蓋著一層滲透率較低且能夠阻斷大部分熱量向太空傳導的沉積巖組,稱為熱儲蓋層;巖體之間的裂隙,有助于各熱儲之間及深部熱能與儲層之間的熱量傳遞,稱為熱通道。
1)熱源條件分析。相關學者對研究區的勘察資料分析表明:地層中的萬昌組、永吉組、土門子組、暉春組、登婁庫組、泉頭組、青山口組均有砂巖、砂礫巖、玄武巖、泥巖及火山灰巖分布,并且熱量充滿各個巖組裂隙,熱量大,豐度高,為研究區提供了良好的熱源條件。
2)熱儲層分析。研究區水熱型熱儲層主要包括長白山天池瀑布北側熱儲帶與西坡梯子河熱儲帶、撫松仙人橋大營溫泉、長白十八道溝溫泉和臨江花山老三隊溫泉群、伊通-舒蘭斷陷盆地和松遼盆地;干熱型熱儲層廣泛分布于研究區砂巖和基底花崗巖中,研究區具有良好的熱儲層條件。
3)熱儲蓋層分析。登婁庫組頂部發育為較厚的細粉砂巖泥巖互層,滲透率低于30 md(1 md=10-3μm2);泉頭組頂部發育滲透率在30 md~40 md泥質砂巖與泥巖互層;營城組營一段頂部發育厚度可達240 m的火山巖[斷裂帶包括伊舒斷裂帶、敦密斷裂帶、鴨綠江斷裂帶;北西向斷裂帶包括大安-扶余斷裂帶、科右前旗-伊通斷裂帶、突泉-四平斷裂帶;東西向斷裂有洮南-扶余斷裂;還有嫩江斷裂帶、乾安-長嶺斷裂帶、雙遼-扶余斷裂帶、四平德惠斷裂帶,為熱儲之間熱量傳遞提供運輸通道。
2.2 大地熱流特征
據最新統計資料,我國境內大地熱流值主要分布區間為23 mW/m2~319 mW/m2,平均值為(61.5±13.9)mW/m2。如表1所示,吉林省大地熱流值主要分布區間為64.6 mW/m2~85.1 mW/m2,平均熱流值為72.2 mW/m2,屬于我國大地熱流值較高的地區。
吉林省大地熱流統計表
3 研究區地熱資源儲存量評估
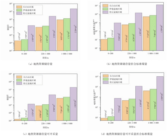
吉林省地熱能資源分布相對均勻,在吉林省東、中、西部均有分布。其中,吉林省東部包括長白山天池溫泉群等地;中部包括伊通盆地等地;西部包括松遼盆地主體等地。其地熱資源儲存量利用《地熱資源地質勘查規范》所提倡的熱儲法計算,計算公式如下:
熱儲面積及孔隙度通過整理吉林省東、中、西部熱異常區現有的地熱勘察資料確定。熱儲層巖石和地熱流體密度及比熱的數據通過查閱《地熱資源評價方法及估算規程》進行取值,水的密度取998.2kg/m3,比熱取4 183 J/kg·℃。因為地熱井井身埋藏于地下,井筒和周圍地層之間會產生傳熱現象,所以研究區熱儲厚度取地表至地下3 000 m的深度。由于地溫梯度的影響,故將研究區熱儲厚度劃分為0~200 m的淺層地熱能、200 m~1 000 m和1 000m~3 000 m的中深層地熱能進行計算。

各熱異常區熱儲面積、孔隙度、厚度及巖石密度和比熱
吉林省中深層地熱資源儲存量為2.81×1022J,折合標準煤量1.59×1011tce;地熱資源儲存量可開采量為2.25×1021J,可開采地熱資源量折合標準煤量1.27×1010tce。
4 結論
1)吉林省地層中含有較高熱量的巖組,并且擁有大量的溫泉群和熱儲帶,熱源條件優越,同時廣泛分布著滲透率較低的泥巖,具有較好的隔熱性能,阻斷大部分熱量向空氣中流失,區域內發育的斷裂系統具有方向多元、層級豐富的特點,是熱量較快傳遞的重要保障。因此,研究區具有較好的地熱生成條件。
2)吉林省熱儲深度在3 000 m以內的中深層地熱資源儲存量為2.81×1022J,折合標準煤1.59×1011tce;可開采地熱資源量為2.25×1021J,可開采地熱資源量折合標準煤1.27×1010tce,且在大地熱流的熱補償作用下中深層地熱能具有較好的地溫恢復性。
3)吉林省屬于寒冷地區,供暖周期長,燃煤供暖經濟成本高并且污染環境,若能將吉林省中深層可開采地熱資源量加以開發利用,可減少CO2排放3.03×1010t,在當前政策和能源背景下,適宜大規模推進淺-中-深層地熱能清潔供暖項目。
上一篇 > 干熱巖勘查開發場地選址指標體系建立研究
下一篇 > 肯尼亞地熱資源高溫地熱鉆井八項鉆井關鍵技術研究








